-
数学之翼
- 类别:养成教育
- 时间:2026-02-10 23:23
- 大小:15 MB Bytes
- 平台:安卓/win
数学之翼手机版(原名:数学天堂)是一款功能强大的数学学习与计算工具,能够帮助用户快速解决各类数学难题,包括复杂的函数、几何问题以及高等代数等。它不仅能够提供详细的解题步骤,让用户清晰理解计算过程,还支持在线绘图功能,直观展示数学问题的图形化解决方案。无论是学生、教师还是数学爱好者,都能通过这款应用提升学习效率,深入掌握数学知识。
数学之翼app介绍
数学之翼全面覆盖了数学领域的核心功能,包括数值计算、多项式符号运算、几何图形绘制等。它不仅支持常规的数学计算,还能通过音频和文字注释辅助学习,并允许用户将计算结果保存为文件或制作成公开课分享给他人。凭借其简单易用的操作界面和强大的计算能力,数学之翼赢得了广大用户的喜爱和高度评价。无论是基础数学练习还是高阶数学研究,这款应用都能满足不同层次用户的需求。
数学之翼软件功能
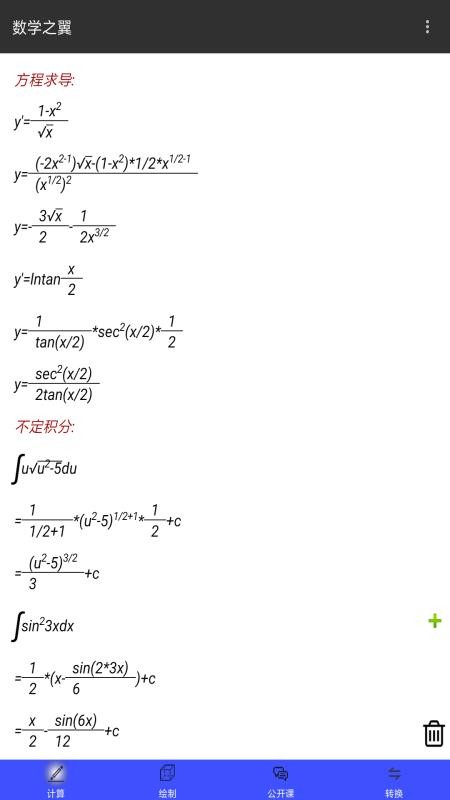
数学之翼提供了丰富的功能,涵盖从基础到高级的各类数学计算需求。它支持任意复杂度的数学公式输入与输出,能够进行多项式运算、方程(组)求解、极限求值、导数与积分计算等高等代数问题。在线性代数方面,它可以计算行列式、矩阵运算,并支持实数和复数的科学计算。此外,用户还可以进行变量赋值、查询和代入计算,方便灵活地处理数学问题。
在几何领域,数学之翼支持坐标系内几何体的平移和旋转操作,并提供完善的数制单位转换功能。它融合了高级语言特性,实现变量类型自动化,支持常量、变量、序列变量、数组、坐标等多种数值类型的定义和计算。用户还可以绘制任意参数方程和极坐标方程对应的曲线,并通过触控或命令行方式绘制平面和立体几何图形。
数学之翼还具备强大的数据管理功能,包括计算日志的保存与调入、截屏功能等。特别值得一提的是,它支持通过音频、文字、图形和公式等多种形式制作公开课,让知识分享变得更加便捷和生动。
安卓版特点
【图形绘制】
数学之翼安卓版对坐标空间进行了优化处理,支持二维和三维函数曲线及几何图形的绘制。函数曲线同时支持直角坐标和极坐标两种绘制方式,几何图形则提供标准模型绘制和手动自由绘制两种模式,以及命令行模式。用户可以随时在坐标空间和编辑模式之间无缝切换,操作体验流畅自然。
【数据库】
数学之翼内置了一个强大的数学知识数据库,涵盖了从基础算术到高等代数的各类数学定理、定义、推论和大量例题。用户可以通过关键词快速搜索到所需的知识点,大大提高了学习和研究的效率。
【手势操作】
针对移动设备的特点,数学之翼安卓版特别优化了屏幕手势操作,并提供了针对不同输入环境设计的自定义键盘。这些人性化的设计使得公式输入和各种屏幕操作更加方便高效,大大提升了用户体验。
更新日志
v2.9.0版本
最新版本对应用结构进行了优化调整,进一步提升了智能化水平。在计算能力方面,改进了极限和不定积分的计算算法,使结果更加精确可靠。同时增强了Super(超数)的公式计算能力,为用户提供更强大的数学运算支持。这些改进使得数学之翼在数学计算和学习辅助方面的表现更加出色。















